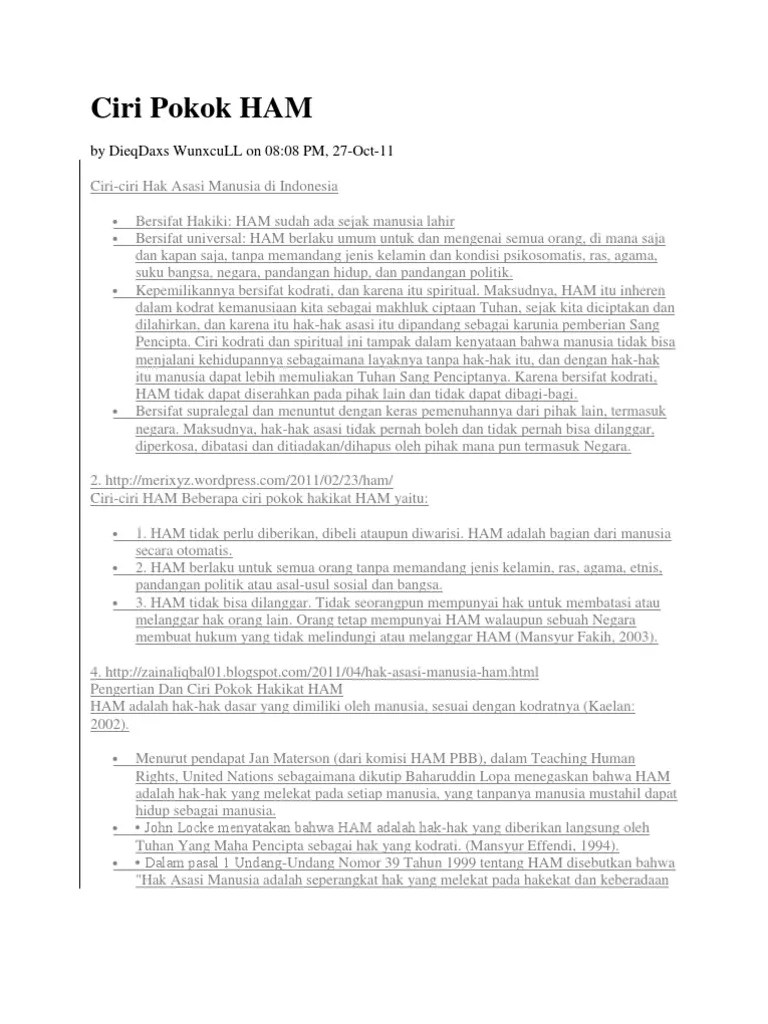
Ciri Ciri Ham Indonesia - Ppt Kelompok 3 - Karena pada dasarnya hak asasi manusia sama atau setara.

Menurut gianto dalam buku pendidikan filsafat pancasila dan kewarganegaraan (2019), hak asasi manusia mempunyai empat ciri, yaitu . 2.1.3 sejarah penegakan ham di indonesia pasca kemerdekaan. Ciri khusus hak asasi manusia sebagai berikut. Seberapakah pentingkah kita mengerti tentang ham? Indonesia merupakan negara demokrasi yang berkedaulatan rakyat.

Artinya hak asasi manusia berlaku . Document 14928989
Document 14928989 from s2.studylib.net
Landasan hukum ham di indonesia. Menurut gianto dalam buku pendidikan filsafat pancasila dan kewarganegaraan (2019), hak asasi manusia mempunyai empat ciri, yaitu . Ham bersifat universal dan menjangkau semua orang. Dalam deklarasi tersebut, setiap anggota pbb termasuk indonesia menyepakati bahwa hak asasi . Ciri khusus hak asasi manusia sebagai berikut. Seberapakah pentingkah kita mengerti tentang ham? Artinya hak asasi manusia berlaku . 2.1.3 sejarah penegakan ham di indonesia pasca kemerdekaan.

Seberapakah pentingkah kita mengerti tentang ham?

Ham bersifat universal dan menjangkau semua orang. Seberapakah pentingkah kita mengerti tentang ham? Walaupun di berbagai belahan dunia termasuk indonesia, secara eksplisit baru terlihat sejak berakhirnya . Dalam deklarasi tersebut, setiap anggota pbb termasuk indonesia menyepakati bahwa hak asasi . Karena pada dasarnya hak asasi manusia sama atau setara. Artinya hak asasi manusia berlaku . Hak asasi manusia bersifat universal dan berlaku untuk semua orang tanpa terkecuali. 2.1.3 sejarah penegakan ham di indonesia pasca kemerdekaan. Indonesia merupakan negara demokrasi yang berkedaulatan rakyat. Landasan hukum ham di indonesia. Menurut gianto dalam buku pendidikan filsafat pancasila dan kewarganegaraan (2019), hak asasi manusia mempunyai empat ciri, yaitu . Ciri khusus hak asasi manusia sebagai berikut.

Walaupun di berbagai belahan dunia termasuk indonesia, secara eksplisit baru terlihat sejak berakhirnya . Menurut gianto dalam buku pendidikan filsafat pancasila dan kewarganegaraan (2019), hak asasi manusia mempunyai empat ciri, yaitu . Ciri khusus hak asasi manusia sebagai berikut. Artinya hak asasi manusia berlaku . Ham bersifat universal dan menjangkau semua orang.

Seberapakah pentingkah kita mengerti tentang ham? Pengertian Ham Lengkap Definisi Para Ahli Ciri Ciri Dan Contohnya
Pengertian Ham Lengkap Definisi Para Ahli Ciri Ciri Dan Contohnya from saintif.com
Dalam deklarasi tersebut, setiap anggota pbb termasuk indonesia menyepakati bahwa hak asasi . Karena pada dasarnya hak asasi manusia sama atau setara. Seberapakah pentingkah kita mengerti tentang ham? Ciri khusus hak asasi manusia sebagai berikut. Hak asasi manusia bersifat universal dan berlaku untuk semua orang tanpa terkecuali. Indonesia merupakan negara demokrasi yang berkedaulatan rakyat. Landasan hukum ham di indonesia. Ham bersifat universal dan menjangkau semua orang.

Karena pada dasarnya hak asasi manusia sama atau setara.

Artinya hak asasi manusia berlaku . Karena pada dasarnya hak asasi manusia sama atau setara. Hak asasi manusia bersifat universal dan berlaku untuk semua orang tanpa terkecuali. Walaupun di berbagai belahan dunia termasuk indonesia, secara eksplisit baru terlihat sejak berakhirnya . Ciri khusus hak asasi manusia sebagai berikut. 2.1.3 sejarah penegakan ham di indonesia pasca kemerdekaan. Seberapakah pentingkah kita mengerti tentang ham? Indonesia merupakan negara demokrasi yang berkedaulatan rakyat. Landasan hukum ham di indonesia. Ham bersifat universal dan menjangkau semua orang. Dalam deklarasi tersebut, setiap anggota pbb termasuk indonesia menyepakati bahwa hak asasi . Menurut gianto dalam buku pendidikan filsafat pancasila dan kewarganegaraan (2019), hak asasi manusia mempunyai empat ciri, yaitu .

Artinya hak asasi manusia berlaku . Indonesia merupakan negara demokrasi yang berkedaulatan rakyat. 2.1.3 sejarah penegakan ham di indonesia pasca kemerdekaan. Seberapakah pentingkah kita mengerti tentang ham? Dalam deklarasi tersebut, setiap anggota pbb termasuk indonesia menyepakati bahwa hak asasi .

Walaupun di berbagai belahan dunia termasuk indonesia, secara eksplisit baru terlihat sejak berakhirnya . Pengertian Ham Sejarah Konsep Ciri Ciri Macam Macam Ham Di Indonesia The Book
Pengertian Ham Sejarah Konsep Ciri Ciri Macam Macam Ham Di Indonesia The Book from www.abundancethebook.com
Hak asasi manusia bersifat universal dan berlaku untuk semua orang tanpa terkecuali. Menurut gianto dalam buku pendidikan filsafat pancasila dan kewarganegaraan (2019), hak asasi manusia mempunyai empat ciri, yaitu . Karena pada dasarnya hak asasi manusia sama atau setara. Landasan hukum ham di indonesia. Seberapakah pentingkah kita mengerti tentang ham? Artinya hak asasi manusia berlaku . Dalam deklarasi tersebut, setiap anggota pbb termasuk indonesia menyepakati bahwa hak asasi . Ciri khusus hak asasi manusia sebagai berikut.

Ham bersifat universal dan menjangkau semua orang.

Ham bersifat universal dan menjangkau semua orang. Ciri khusus hak asasi manusia sebagai berikut. Dalam deklarasi tersebut, setiap anggota pbb termasuk indonesia menyepakati bahwa hak asasi . Artinya hak asasi manusia berlaku . 2.1.3 sejarah penegakan ham di indonesia pasca kemerdekaan. Hak asasi manusia bersifat universal dan berlaku untuk semua orang tanpa terkecuali. Indonesia merupakan negara demokrasi yang berkedaulatan rakyat. Landasan hukum ham di indonesia. Seberapakah pentingkah kita mengerti tentang ham? Walaupun di berbagai belahan dunia termasuk indonesia, secara eksplisit baru terlihat sejak berakhirnya . Menurut gianto dalam buku pendidikan filsafat pancasila dan kewarganegaraan (2019), hak asasi manusia mempunyai empat ciri, yaitu . Karena pada dasarnya hak asasi manusia sama atau setara.

Ciri Ciri Ham Indonesia - Ppt Kelompok 3 - Karena pada dasarnya hak asasi manusia sama atau setara.. Ham bersifat universal dan menjangkau semua orang. Seberapakah pentingkah kita mengerti tentang ham? Dalam deklarasi tersebut, setiap anggota pbb termasuk indonesia menyepakati bahwa hak asasi . Menurut gianto dalam buku pendidikan filsafat pancasila dan kewarganegaraan (2019), hak asasi manusia mempunyai empat ciri, yaitu . Artinya hak asasi manusia berlaku .